产品中心
PRODUCT CENTER
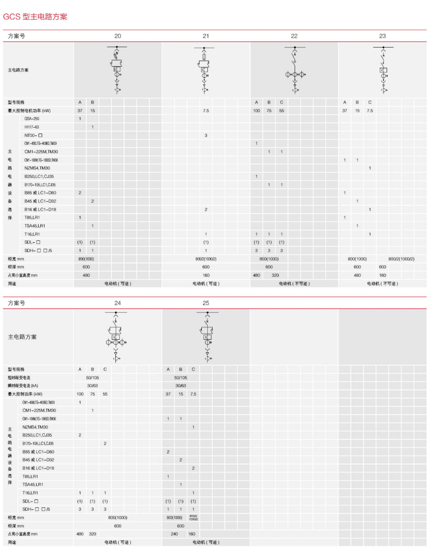
GCS低压抽出式开关柜
GCS装置适用于发电厂、石油、化工、冶金、纺织、高层建筑等行业的配电系统。在大型发电厂、石化系统等自动化程度高,要求与计算机接口的场所作为三相交流频率为50(60)Hz,额定工作电压为380V(400V),(660V),额定电流为4000A及以下的发、供电系统中的配电、电动机集中控制、无功功率补偿使用的低压成套配电装置。
- 产品信息









产品中心
PRODUCT CENTER
GCS低压抽出式开关柜








